반응형
BOJ 11437번 LCA https://www.acmicpc.net/problem/11437
풀이:
다른 사람들이 왜 이렇게 풀어야만 했는지 이해를 못해서.... 한참 헤맸다
문제에 주어지지 않는 게 있는데
*부모-자식 관계의 정의*가 주어지지 않는다.
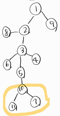
1. 주어진 정점들을 다 연결했을 때 1과 가까운 노드가 부모가 된다.
최상위가 1번이라서 작은수가 부모가 된다고 착각하면 방황하게 된다ㅠㅠ
정점을 하나씩 탐색 돌리면 시간 초과가 뜨고, 문제는 항상 한 쌍으로 주어지기 때문에
2. 반복문(for/while) 하나에서 두 정점을 동시에 탐색해야 한다.
두 정점을 동시에 탐색하려면 각 정점의 단계(Level)을 알아야한다.
정점별로 탐색을 돌리면 시간초과가 뜨기 때문에
3. 각 정점별 단계를 미리 단계를 알아놔야한다.
두 정점을 잇는 간선정보가 차례대로 주어지지 않기 때문에
4. 간선정보를 전부 받아 탐색을 통해 단계를 확인해야한다.
5. 탐색 전에는 부모-자식 관계를 알 수 없기 때문에 일단 양방향 노드로 구현한다.


반응형
'알고리즘' 카테고리의 다른 글
| 백준 10775 공항 Java (0) | 2021.07.10 |
|---|---|
| 알고리즘 문제 핀볼 (0) | 2021.06.13 |
| 백준 1854 K번째 최단경로 (0) | 2021.06.02 |
| 백준 1238 파티 Java (0) | 2021.05.22 |
| 백준 1197 최소 스패닝 트리 Java (0) | 2021.05.12 |